快乐学习 一个网站喵查铺子(catpuzi.com)全搞定~

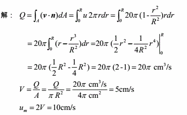
不可压缩粘性流体在圆管中作定常流动,圆管过流断面上的速度分布为,圆管半径R=2cm,试求通过过流断面的体积流

热门题目 网课答案 2023-03-05 扫描二维码

题目:不可压缩粘性流体在圆管中作定常流动,圆管过流断面上的速度分布为,圆管半径R=2cm,试求通过过流断面的体积流

不可压缩粘性流体在圆管中作定常流动,圆管过流断面上的速度分布为不可压缩粘性流体在圆管中作定常流动,圆管过流断面上的速度分布为,圆管半径R=2cm,试求通过过流断面的体积流,圆管半径R=2cm,试求通过过流断面的体积流量Q和平均流速v。

喵查答案:
喜欢 (0)
关于作者: