喵查铺子
MOOC答案
学习通答案
智慧树答案
超星尔雅答案
热门题目
游戏推荐
编程杂谈
AI人工智能学习
flutter开发
登录
注册
用户名或电子邮箱地址
密码
记住我
快乐学习 一个网站喵查铺子(catpuzi.com)全搞定~
>
热门题目
>
设矩阵求
设矩阵求
热门题目
网课答案
2023-05-13
扫描二维码
-->
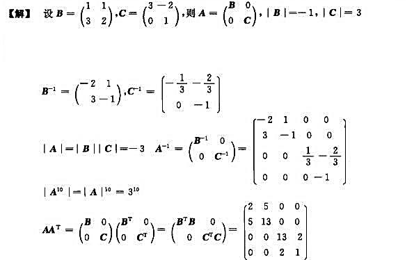
题目:设矩阵求
设矩阵
求
喵查答案:
喜欢 (
0
)
【单选题】我我我我我我
下列关于恒氧和恒静说法正确的是()。
关于作者:
网课答案
作者主页
密码保护:
LEACH是一种基于位置的路由协议
电容式传感器可分为变极距型、变面积型和变介质型三种类型
下列不属于按传感器的工作原理进行分类的传感器是( )
密码保护:
LEACH是一种基于位置的路由协议
电容式传感器可分为变极距型、变面积型和变介质型三种类型
下列不属于按传感器的工作原理进行分类的传感器是( )
采用金属丝应变片测量物体应变时,电阻的相对变化主要是由()决定的。
毛泽东思想和中国特色社会主义理论体系虽然形成于不同的历史时期,面对着不同的历史任务,具有不同的具体内容,但在基本精神上是一致的,它们的基本点是
科学发展观首要的基本问题是
毛泽东初步界定党的思想路线的基本含义的著作是